Наглядный и поучительный короткий ролик о том, как работают тру-мирмекологи. Кстати, с того самого канала, который выкладывал видео к статье про самого быстощёлкающего челюстями муравья. ))
О чём тут идёт речь: поставлена, скажем, задача пересчитать всех особей в популяции, ну, или, как в данном конкретном примере, посчитать всех рабочих фуражиров какого-то конкретного муравьиного семейства. Можно тупо всех поймать и посчитать (нет). Можно, например, поступить хитрее - посчитать всех на квадратном метре (или пробегающих через определённый отрезок и т.п.), а потом экстраполировать на всю площадь. Но тоже не особо. Как понять, где границы этой площади, и какова плотность мурашей в разных её частях? Чуть изменил коэффициенты, и конечные значения поменялись в разы, если не на порядки. Так вот, есть прекрасный метод оценки численности под названием Mark-recapture (что означает: "Отлов и мечение с повторным отловом" ну, или как-то так). Суть его в следующем: вы ловите пылесосом некое определённое число случайных особей, метите их и отпускаете. Через определённое время производится повторный отлов того же числа случайных особей и подсчёт среди них количества ранее помеченных. Эта процедура выполняется несколько раз, чем больше, тем точнее оценка, а затем, путём статистической обработки рассчитывается довольно точная численность всей популяции.
Метод особенно хорош в тех случаях, когда иные способы неадекватны или вообще неприменимы. Кстати, именно этой методикой мы пользуемся для оценки численности популяций китов. Понятное дело, пылесосом их никто не засасывает и, вообще, не отлавливает. )) Да и краской мазать их нет никакой нужды. Большинство особей индивидуально определяется по естественным маркерам: особенностям окраски, шрамам и т.п., а вместо отлова мы просто фотографируем животное при встрече в море.
Путем статистической обработки)))
Вот можно подробней? Я понимаю проводить такую процедуру в колониях у которых примерная численность известна.
А как быть с новыми видами, как путем мечения отдельных особей высчитать количество?
Вот не догоняю. Погрешности же просто огромны из за случайности.
Про китов да, смотрел, база данных у вас есть с фото, размерами, особенностями конкретной особи, но к муравьям мне кажется это вообще отношения не имеет.
bxЯ понимаю проводить такую процедуру в колониях у которых примерная численность известна.
Как-раз таки нет, мы исходим из того, что не известна. Ну, то есть, лучше бы представлять порядок (типа - сто особей их там или миллион), чтобы выбрать оптимальный размер маркируемой группы. А то, если, скажем, пометить 10 человек в мегаполисе на 10 миллионов, то можно потом до китайской пасхи их рекапчить.
bx
Погрешности же просто огромны из за случайности.
Погрешность есть всегда, при любом учёте. В этом случае как-раз нужна случайность повторных выборок, на этом всё строится.
Ну, если совсем на пальцах: вот у вас, допустим, полный карман семечек, вы хотите узнать - сколько их в штуках. Вы достаёте горсточку, пересчитываете и как-то помечаете. Тут главное их не сгрызть ненароком. Засыпаете в карман и хорошенько перемешиваете. Теперь, когда вы достанете новую горстку, то в ней попадётся несколько ранее помеченных. Мы предполагаем, что черпанули вы их совершенно случайным образом, и перемешаны они более-менее равномерно. Значит доля меченых семечек во второй горсти более-менее равна доли всех помеченных в кармане, и можно вычислить общее число семечек, в первом приближении. Но это, конечно, будет очень неточно, так как есть вероятность, что в данный конкретный раз вы достали несколько больше или несколько меньше помеченных, чем их доля в кармане. Поэтому такое действие надо повторить несколько раз. Чем больше повторений, тем выше точность.
При реальных популяционных расчётах принимается во внимание ещё и множество других факторов. За время работ часть помеченных особей может быть сожрана хищниками или подохнуть от старости, или мигрировать, в случае открытой популяции. А кто-то новый народится или понаползёт со стороны.
И да, в этом конкретном случае с муравьями и пылесосом надо понимать, что мы так можем посчитать только рабочих фуражиров (плюс разведчиков и остальных, кто на поверхности бегает), но не всю колонию.
bx
Ну я так и понял)) то есть считают +- с погрешностью в пол колонии)))
А вот и нет, значит вы не поняли. Погрешность минимальная из всех возможных способов учёта.
При повторных измерениях все эти +- друг друга нивелируют, и результат очень близок к реальному. Можете дома поэкспериментировать самостоятельно с семечками. ;) Как считать - легко нагуглить по запросу "Mark-recapture".
BO.
нет ли у Вас случаем детального описания этого метода на русском?
Да там всего метода-то:
1. Отловить (достаточное для статистически достоверной выборки количество), пометить
2. Вернуться через некоторое время, когда ранее помеченные особи перемешаются с популяцией, отловить снова - и посчитать соотношение помеченных к непомеченным
Формула:
N = (M*C) / R
N = рассчётная численность популяции
M = количество ранее помеченных особей
C = общее количество особей второго отлова
R = количество помеченных особей во втором отлове
Wan1
Можете дома поэкспериментировать самостоятельно с семечками.
семечки в пакетике или кармане знаете ли статичны в определенном объеме)
Сколько бы раз не отлавливал муравьев, лишь снизишь погрешность, но она так и останется велика.
Если на пальцах, пометил выпустил, наловил-столько то меченных, отпустил, наловил-столько то меченных, отпустил.
И так хоть десять раз, хоть больше, но где стабильность, а если все десять раз меченных будет примерно то же количество, это будет значить что колония соответствует определенному размеру? А не то что просто повезло 10 раз поймать именно определенное количество меченных. Ну или же не повезло, и количество помеченных будет минимально.
BO.
была не ниже 90%
Не будет у вас такой точности) Даже изоляция полностью всей колонии с последующим пересчетом поштучно или по весу такого результата не даст.
Где то читал за формик, выкапывали зимой полностью колонию и взвешивали, так конечно посчитать легче, но даже там было не больше 90%
BO.
Если реально применять этот метод, вылезет много подводных камней.
Само-собой. Потому что жизнь устроена несколько сложнее, чем карман с семечками или мешок с разноцветными шариками, которые так любят в задачках по теории вероятностей. В реальных популяционных исследованиях строят разные модели популяции, тестируют их на правдоподобие, дальше уже оценивают размер популяции методом, наиболее пригодным для лучшей модели.
BO.
Если реально применять этот метод, вылезет много подводных камней.
Его и применяют на постоянной основе :)
К сожалению (счастью?) я благополучно позабыл матстатистику, и помню только матерные слова вроде: p-значения (кстати, "классика" - 0,05. что соответствует 95% достоверности), , и что там ещё нужна таблица распределения хи-квадрат (со степенью свободы 1 - в данном случае) для рассчётов этого p-значения.
Объяснить это всё по-человечески не смогу, к сожалению.
Впрочем, можно попробовать в этих видео включить субтитры и атоматический перевод на русский, может станет понятно - в общих чертах.
Не, не стоит. )))
Смысл тут засорять. Кому действительно интересно в это рубиться, нагуглит себе вагон инфы и будет радостно поглощать семистопные формулы.
Жаль, что на русском материалов практически нет, хотя такая обширная и актуальная тема. А вообще, идеи тут занудствовать совсем не было, мне просто в ролике ход с пылесосом очень понравился. )))
Wan1
на русском материалов практически нет, хотя такая обширная и актуальная тема.
Ну, пусть сам метод и не описан, но всё растёт из матстатистики, а по этому вопросу материалов хватает.
Я в принципе, потому на критерий Стьюдента ссылку и дал - уже по этой статье понятно, что всё плохо это не так-то просто объяснить "на пальцах" :)
1 - Путем статистической
Путем статистической обработки)))
Вот можно подробней? Я понимаю проводить такую процедуру в колониях у которых примерная численность известна.
А как быть с новыми видами, как путем мечения отдельных особей высчитать количество?
Вот не догоняю. Погрешности же просто огромны из за случайности.
Про китов да, смотрел, база данных у вас есть с фото, размерами, особенностями конкретной особи, но к муравьям мне кажется это вообще отношения не имеет.
2 - bxЯ понимаю проводить такую
Как-раз таки нет, мы исходим из того, что не известна. Ну, то есть, лучше бы представлять порядок (типа - сто особей их там или миллион), чтобы выбрать оптимальный размер маркируемой группы. А то, если, скажем, пометить 10 человек в мегаполисе на 10 миллионов, то можно потом до китайской пасхи их рекапчить.
Погрешность есть всегда, при любом учёте. В этом случае как-раз нужна случайность повторных выборок, на этом всё строится.
Ну, если совсем на пальцах: вот у вас, допустим, полный карман семечек, вы хотите узнать - сколько их в штуках. Вы достаёте горсточку, пересчитываете и как-то помечаете. Тут главное их не сгрызть ненароком. Засыпаете в карман и хорошенько перемешиваете. Теперь, когда вы достанете новую горстку, то в ней попадётся несколько ранее помеченных. Мы предполагаем, что черпанули вы их совершенно случайным образом, и перемешаны они более-менее равномерно. Значит доля меченых семечек во второй горсти более-менее равна доли всех помеченных в кармане, и можно вычислить общее число семечек, в первом приближении. Но это, конечно, будет очень неточно, так как есть вероятность, что в данный конкретный раз вы достали несколько больше или несколько меньше помеченных, чем их доля в кармане. Поэтому такое действие надо повторить несколько раз. Чем больше повторений, тем выше точность.
При реальных популяционных расчётах принимается во внимание ещё и множество других факторов. За время работ часть помеченных особей может быть сожрана хищниками или подохнуть от старости, или мигрировать, в случае открытой популяции. А кто-то новый народится или понаползёт со стороны.
И да, в этом конкретном случае с муравьями и пылесосом надо понимать, что мы так можем посчитать только рабочих фуражиров (плюс разведчиков и остальных, кто на поверхности бегает), но не всю колонию.
3 - Wan1 Ну, если совсем на
Ну я так и понял)) то есть считают +- с погрешностью в пол колонии)))
4 - bx Ну я так и понял)) то есть
А вот и нет, значит вы не поняли. Погрешность минимальная из всех возможных способов учёта.с семечками . ;) Как считать - легко нагуглить по запросу "Mark-recapture".
При повторных измерениях все эти +- друг друга нивелируют, и результат очень близок к реальному. Можете дома поэкспериментировать самостоятельно
5 - Wan1-а нет ли у Вас случаем
Wan1-а нет ли у Вас случаем детального описания этого метода на русском?
6 - BO. нет ли у Вас случаем
Да там всего метода-то:
1. Отловить (достаточное для статистически достоверной выборки количество), пометить
2. Вернуться через некоторое время, когда ранее помеченные особи перемешаются с популяцией, отловить снова - и посчитать соотношение помеченных к непомеченным
Формула:
N = (M*C) / R
N = рассчётная численность популяции
M = количество ранее помеченных особей
C = общее количество особей второго отлова
R = количество помеченных особей во втором отлове
Повторить несколько раз.
7 - Хотелось бы узнать какое в
Хотелось бы узнать какое в процентном отношении к общей численности надо отловить , что бы достоверность результата была не ниже 90%
8 - Если реально применять этот
Если реально применять этот метод, вылезет много подводных камней. Хотелось бы ближе ознакомится с этим алгоритмом.
9 - Wan1 Можете дома
семечки в пакетике или кармане знаете ли статичны в определенном объеме)
Сколько бы раз не отлавливал муравьев, лишь снизишь погрешность, но она так и останется велика.
Если на пальцах, пометил выпустил, наловил-столько то меченных, отпустил, наловил-столько то меченных, отпустил.
И так хоть десять раз, хоть больше, но где стабильность, а если все десять раз меченных будет примерно то же количество, это будет значить что колония соответствует определенному размеру? А не то что просто повезло 10 раз поймать именно определенное количество меченных. Ну или же не повезло, и количество помеченных будет минимально.
Не будет у вас такой точности) Даже изоляция полностью всей колонии с последующим пересчетом поштучно или по весу такого результата не даст.
Где то читал за формик, выкапывали зимой полностью колонию и взвешивали, так конечно посчитать легче, но даже там было не больше 90%
10 - BO. Если реально применять
Само-собой. Потому что жизнь устроена несколько сложнее, чем карман с семечками или мешок с разноцветными шариками, которые так любят в задачках по теории вероятностей. В реальных популяционных исследованиях строят разные модели популяции, тестируют их на правдоподобие, дальше уже оценивают размер популяции методом, наиболее пригодным для лучшей модели.
11 - BO. Если реально применять
Его и применяют на постоянной основе :)
К сожалению (счастью?) я благополучно позабыл матстатистику, и помню только матерные слова вроде: p-значения (кстати, "классика" - 0,05. что соответствует 95% достоверности), , и что там ещё нужна таблица распределения хи-квадрат (со степенью свободы 1 - в данном случае) для рассчётов этого p-значения.
Объяснить это всё по-человечески не смогу, к сожалению.
Впрочем, можно попробовать в этих видео включить субтитры и атоматический перевод на русский, может станет понятно - в общих чертах.
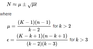
12 - whex Формула: N = (M*C) /
Ну, это такой, совсем упрощённый вариант (т.н. метод Линкольна-Петерсона) из позапрошлого века. В реале даёт ошибку при малых размерах выборки.
13 - Wan1совсем упрощённый
Ну я бы не воспроизвёл в условиях форума, да и на упрощённом варианте оно нагляднее :)
Хотя...
14 - Не, не стоит. )))Смысл тут
Не, не стоит. )))
А вообще, идеи тут занудствовать совсем не было, мне просто в ролике ход с пылесосом очень понравился. )))
Смысл тут засорять. Кому действительно интересно в это рубиться, нагуглит себе вагон инфы и будет радостно поглощать семистопные формулы.
Жаль, что на русском материалов практически нет, хотя такая обширная и актуальная тема.
15 - Wan1 на русском материалов
Ну, пусть сам метод и не описан, но всё растёт из матстатистики, а по этому вопросу материалов хватает.
Я в принципе, потому на критерий Стьюдента ссылку и дал - уже по этой статье понятно, что всё
плохоэто не так-то просто объяснить "на пальцах" :)